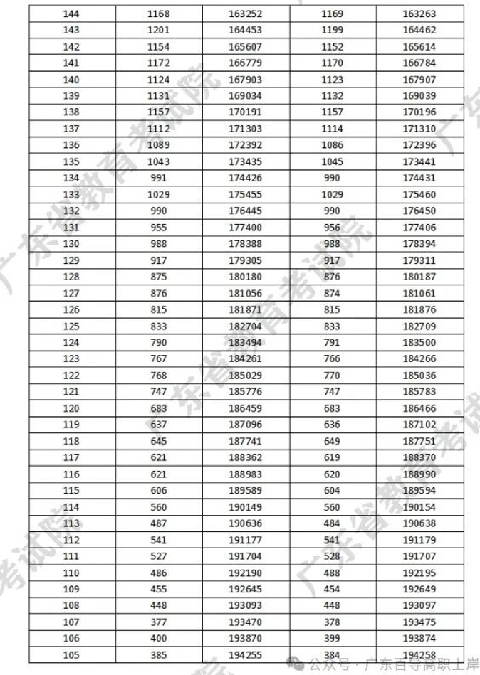
已经考了高职高考,想了解自己的分数在全省大概排第几名,可以参考往年的一分一段表:
2025年3+证书一分一段表:










志愿填报感到选择迷茫,给考生一些择校的建议:
高分段(320分以上):考虑头部院校(如:深职、深信息、广轻等),注重地域及专业选择
中高&中分段(230~320分):考生扎推竞争激烈,公办为主,注重以专业选择(最好兼顾地域)
中低分段(180~229分):建议更注重地域,可考虑珠三角公办院校冷门专业(如中外合办),以及广州中心地区招生计划较少的民办院校。特别是没有专业方向的同学们,有条件的可以多考虑大城市中心区域的优质民办院校,不仅能选择热门的专业还能享受一线城市的资源,以后就业也会更有优势。记住一定是中心区域的院校,等你要进入社会实践就知道什么叫真正的方便!
低分段(180分以下):按今年的情况大多数只能选择民办院校,可以考虑招生计划较大的!
2025年省控线:
广东省2025年普通高校春季分类考试(“3+专业技能课程证书”)招生录取最低分数线如下:
(一)本科院校招收中等职业学校毕业生文化科总分260分。
(二)专科院校招收中等职业学校毕业生文化科总分120分。
(三)高职院校招收退役士兵考生文化科总分85分。
(四)高职院校招收内地西藏新疆中职班考生文化科总分90分
上一篇:广东初中生上了中职/中职生参加广东3+证书高职高考一样考大学!
下一篇:已经是最后一篇
免责声明:部分稿件来源于网络转载,转载目的在于传递更多信息,并不代表本网赞同其观点和对其真实性负责。如涉及作品内容、版权和其它问题,请在30日内与本网联系,我们将在第一时间删除内容。
中职生也能参加高考,也就是我们说的高职高考。目前,广东“3+证书”高职高考报考人数越来越多,竞争相应的越来越激烈。最近很多三二分段的学生来问:能不能报名3+证书考试?...
什么是学考?广东学考即:依据高中学业水平考试成绩进行录取的高职分类招生考试。通过广东学考,考完试填报志愿被录取后,就可以就读广东省内的专科院校。不需要再经过普通高...
1. 哪些人可以报考“3+证书”考试? 答:“3+证书”考试的报考对象为中等职业学校(含职业高中、中专、成人中专、技工学校、技师学院)毕业生(包括退役士兵、西藏新疆内职...
广东3+证书高职高考2025年最受欢迎排名前十,也是录取分数最高的前十专科院校,排名出炉!分别是:深圳职业技术大学、深圳信息职业技术学院(已升本)、顺德职业技术学院(已...
护理、药学等医学类作为高职高考热门报考专业,每年都有很多同学来前来咨询学校。医学类院校之所以热门,是因为医学专业具有明确的就业方向、良好的就业前景、多样化的就业环...
距离26高职高考只剩5个月的时间了,相信大部分同学复习已经在进行中从下定决心高职高考,坚持到现在,经历了太多,也承受了太多。你们都很棒!如果现在还没开始复习,又焦虑又...

- 扫码关注 -