给同学们整理了2026年广东春季学考投档分数和排位情况,备考2027年学考的高中生可以参考!
2026年广东学考录取分数线,高职院校依据普通高中学业水平考试成绩招生录取:
普通类 文化科总分190分。
体育类 文化科总分170分。体育类专业省统考180分。
音乐类(含音乐教育、音乐表演) 文化科总分155分。音乐类专业省统考150分。
美术与设计类 文化科总分160分。美术与设计类专业省统考150分。
舞蹈类 文化科总分150分,舞蹈类专业省统考150分。








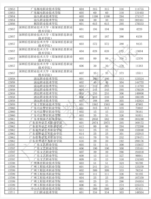
广东2026年学考公办院校录取难度排名:


从上表看,今年广东学考第一次投档中,公办院校整体呈现 “高热度、高满档、高分集中” 的格局。公办院校竞争依然激烈! 学考生落榜分数不过线没书读? 录取的院校/专业不满意? 复读再战也能逆风翻盘! 2027届春季高考大学校内特训营 现在开始招生! 最早6月开班 专为学考生培优辅差而设 10年春季高考考前培训实战经验坚持“标准化教学+双师负责制”校内办班,正规、安全、有保障!
26年广东春季高考(依学考)报名人数超44万,随着春季高考报名人数逐年增加,竞争越来越激烈!
为帮助同学们提高文化科成绩、实现上岸优质公办,百导教育为高中生同学开设了春季学考辅导班【线下全日制集训营】,助力同学们圆梦理想大学!
广州天河校区(华农旁),大学校内食宿一体封闭式管理教学,学习氛围超好,全职老师和班主任全程陪伴,正规安全有保障!
复读,还是应届高三均可报名支持到校参观 + 免费试听试课!

上一篇:2026年广东高职高考院校录取分数线排名!95所专科+15所本科!公办最低130(省控线130)
下一篇:已经是最后一篇
免责声明:部分稿件来源于网络转载,转载目的在于传递更多信息,并不代表本网赞同其观点和对其真实性负责。如涉及作品内容、版权和其它问题,请在30日内与本网联系,我们将在第一时间删除内容。
学校名称:广东女子职业技术学院学校代码:12742学校属性:专科【公办】学校地区:广州番禺、广州海珠学费:5250-6410(普通类专业)住宿费:600-1500学校特色:广东女子职业...
广州在校中职生,尤其是天河、五山一带是中职、中技生,是不是在为“3+证书”考试春季高考发愁?自学没有方向,学校教得浅,想冲本科或者好的大专院校?不用怕,百导教育高职....
报广东高职高考3+证书考试有分文理科吗?广东高职高考3+证书考试并不分文理科 。考试科目统一为语数英三个科目,而且数学不像普通高中那样分为文科数学和理科数学 。在报考...
广东 3 + 证书高职高考,中职生需要满足以下要求才有可能被专科院校录取:符合广东省教育考试院规定的专科科最低控制线(2025年省控线:120分),能填报35个志愿;1. 符合...
26年的高职高考仅剩3个月左右,还没拿到技能证书的同学们,要赶紧准备起来了!对于想要在考证&备考两手抓的同学,看过来!1+X证书的《WPS办公应用职业技能等级证书》最适合你...
问:广东应届毕业的中职/高技/技师毕业的学生在哪里报名春季高考?答:广东省户籍的应届毕业考生原则上在学籍所在地(市)报考,或在户籍所在地(市)报考,不得在其他地市借...